東北地理所在黑土糧倉農業水安全風險研究中取得進展
氣候驅動的水資源短缺和極端天氣事件已成為全球糧食安全面臨的主要風險。作為我國糧食安全戰略核心區,東北黑土糧倉農業生產穩定性直接關系國家“飯碗安全”。然而,氣候變化對黑土糧倉的農業水安全構成了嚴重威脅,主要表現為作物水分需求與降水模式的不匹配、灌溉用水需求激增導致的地下水可持續性危機以及頻繁的極端水文事件。然而,目前有關黑土糧倉農業水安全風險的研究多聚焦于單一指標或因素,忽視了農業水安全風險的多維度特性尤其是“氣候—土地—作物”系統的復雜性與關聯性,導致評估不夠精準,從而限制了對農業水安全風險的全面理解和有效應對。
東北地理所水文與水資源學科組研究人員提出了一個綜合性的農業水安全風險評估框架,系統整合了包括旱澇災害時空特征(持續時間和強度)、區域氣候生產潛力、土地利用/覆被變化動態以及主要糧食作物(水稻、玉米和大豆)對氣候變化的脆弱性響應等多維度關鍵因子,構建了適用于東北黑土區的農業水安全風險評估框架。基于該框架,在柵格、地級市(40個)和區域尺度(三大平原區與整個東北黑土區)評估了基準期(1999-2018年)農業水安全災害性、暴露度、脆弱性和風險格局;隨后,采用第六次國際耦合模式比較計劃(CMIP6)多模型集成數據,模擬預測了SSP2-4.5(中等脅迫)和SSP5-8.5(高脅迫)兩種共享社會經濟路徑下東北黑土區未來近期(2031-2050)、中期(2051-2070)和遠期(2071-2100))農業水安全災害性、暴露度、脆弱性和風險格局的演變趨勢。
研究結果表明,基準期,東北黑土區旱澇災害頻發,尤其是旱災風險較為突出;空間分布上,三大平原地區(三江平原、松嫩平原和遼河平原)的澇災風險呈自南向北遞減的空間分布特征。黑土區農業水安全平均風險值為 0.061,30% 的地級市處于高和極高風險水平,主要集中在遼寧西部和黑龍江省西南部。未來氣候變化下,黑土區農業水安全風險的時空演變特征如下:
(1)時間趨勢:近期風險達峰,長期分化明顯
未來近期(2031-2050):成為農業水安全風險“峰值窗口期”,SSP2-4.5 情景下平均風險值升至 0.068,SSP5-8.5 情景下達到 0.067,且兩種氣候情景下黑土區50% 地級市農業水安全風險將增加。遠期(2071-2100):情景分化顯著,SSP2-4.5 情景下風險回落至 0.056(低于基準期),而 SSP5-8.5 情景下,風險反彈至 0.063。
(2)災害轉型:洪澇風險超越干旱風險成主導威脅
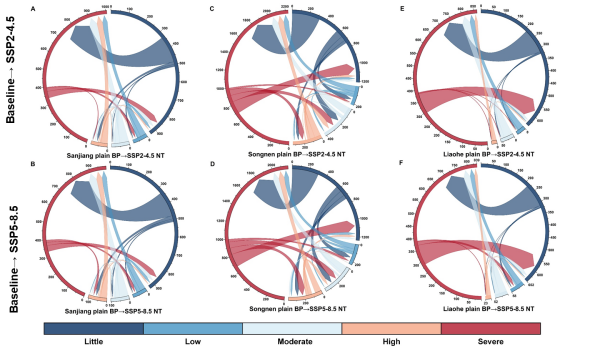
未來氣候變化下,洪澇將取代干旱成為威脅黑土糧倉農業水安全的主要災害。空間格局上,基準期三大平原的洪澇特征表現為“遼河平原>松嫩平原>三江平原”;至未來中期(2051-2070),洪水災害分布將發生空間逆轉,形成“三江平原>松嫩平原>遼河平原”的新格局。
(3)空間格局:三江平原成風險 “熱點區”
三大平原農業水安全脆弱性將從歷史時期的“遼河平原>松嫩平原>三江平原”的空間格局轉變為“三江平原>遼河平原>松嫩平原”的未來分布格局。同時,三江平原極高暴露度面積將大幅度增加,加之澇災風險北移,區域農業水安全風險在近期增幅最為顯著。與基準期比較,兩種氣候情景下近期三大平原地區處于高和極高風險區面積都將增長43.68%。
基于研究發現,團隊提出針對性的風險應對策略,包括優先推進重點區域水網建設、優化作物種植結構與生態布局和建立動態風險預警機制等。該研究提出的“災害性—暴露度—脆弱性→農業水安全風險”綜合預測與評估框架,通過多源數據融合與跨尺度分析,實現了風險評估的精細化與動態化,不僅為黑土糧倉的水安全保障提供了科學依據和決策支持,也為全球類似農業區(如美國大平原、烏克蘭黑土區)的農業水安全風險評估提供了可遷移、可復制的方法論。
研究成果近期發表在農業水資源領域Top期刊《Agricultural Water Management》。由中國科學院東北地理與農業生態研究所聯合培養碩士李澤華(第一作者)、吳燕鋒副研究員(通訊作者)、章光新研究員、美國路易斯安那州立大學胥毅軍教授、倪炳波博士、胡博亭博士、孫敬軒博士、章清松博士和于葉翔博士共同完成,研究得到了中國科學院戰略性先導科技專項(XDA28020501和XDA28100105)等項目資助。

圖1. 不同氣候變化情景下東北黑土區的農業水安全風險。A、C、D、E、F、G、H為不同時期水安全風險等級的空間分布;餅狀圖為各水安全風險等級在不同時期的面積占比;B為不同時期不同情景下的平均農業水安全風險;BP、NT、MT和DF分別代表基準期、近期、中期和遠期

圖2. 未來氣候變化下三江平原(A)、松嫩平原(B)、遼河平原(C)洪水強度和持續時間聯合分布概率(JFE)

圖3. 未來氣候變化下三江平原(A)、松嫩平原(B)、遼河平原(C)農業水安全脆弱性

圖4. 基準期至未來不同氣候情景下(SSP2-4.5和SSP5-8.5)三江平原、松嫩平原和遼河平原的農業水安全風險水平轉移矩陣
論文信息及鏈接如下:
Li,Z. et al.,2025. China's Black Soil Granary is approaching the climax phase of agricultural water security risk. Agricultural Water Management,319: 109780. DOI: https://doi.org/10.1016/j.agwat.2025.109780
附件下載:
吉公網安備22017302000214號