東北地理所在城市森林康養效益評估及環境因子驅動研究方面取得進展
城市森林是美麗城市中不可或缺的景觀要素,充分發揮城市森林的康養效益則是人民群眾對美好生活的向往之一。2019年3月,國家林業和草原局等四部委聯合發文促進森林康養產業發展,建議以森林生態環境為基礎,與醫學、養生學有機融合,使人民群眾更加充分的享有森林康養服務。
目前,有關城市森林康養效益的評估研究,多以大量志愿者參與城市森林體驗過程為主要形式,通過調查問卷反饋的方法量化參加人員對城市森林環境的感性評價,不僅費時費力,而且由主觀評價所引起的系統誤差無法察覺,更難以支持進一步的驅動機制分析。
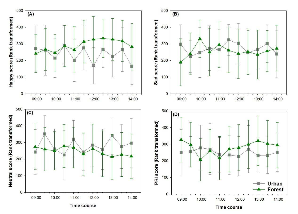
東北地理所城市森林與濕地學科組研究人員打破傳統的思維慣式,借助人工智能開發過程中機器深度學習的手段,利用社交網絡云端及國家尺度上實拍的圖片信息大數據,構建適用于中國人在城市森林中微表情分析的技術體系,旨在通過對游客面部微表情的識別進一步量化和分析其在城市森林中情緒和心情的變化。研究發現:在中午時段,與長春市南湖公園附近繁華的街道相比,在城市森林公園中的步行體驗會引起游客面部更多的開心表情,并會從總體上抑制一天當中面部木訥的表情。與實時環境因子監測結果進行多元回歸分析表明,游客臉上開心的表情主要與森林光譜中更多的綠光有關,而樂觀積極的表情的形成主要受森林中靜謐濕潤的環境驅使而形成。
該研究由東北地理所魏紅旭副研究員(第一作者)、何興元研究員(通訊作者)、美國Wisconsin大學Stevens Point校區Richard J. Hauer教授等共同完成。成果發表在Urban Forestry & Urban Greening期刊上。該研究由中國科學院戰略性先導科技專項(A類)子課題任務(XDA2307050302)、國家自然科學基金面上項目(41971122)、國家重點研發計劃項目(2016YFC0500300)、中國科學院科技服務網絡計劃(STS計劃)區域重點項目(KFJ-STS-QYZD-044; KFJ-STS-ZDTP-048)和中國科學院海外留學獎學金等項目共同資助。
論文信息:Hongxu Wei, Bingqian Ma, Richard J. Hauer, Chunyue Liu, Xingyuan He. Relationship between environmental factors and facial expressions of visitors during the urban forest experience. Urban Forestry & Urban Greening, 2020, 53: 126699.
鏈接:https://doi.org/10.1016/j.ufug.2020.126699

圖1. 利用計算機深度學習技術分識別分析志愿者在城市森林(左圖)和附近街區(右圖)中表情值的過程界面。

圖2. 參與者面部開心(A)、悲傷(B)、木訥(C)和樂觀積極表情(B)的秩排序動態在城市森林與附近街區之間的差別。
附件下載:
吉公網安備22017302000214號