東北地理所在內陸渾濁水體葉綠素a濃度遙感定量反演算法方面取得進展
葉綠素a濃度是藻類生物量的指示指標,是水質的重要表征參數,也是水環境研究(還是常規監測)必須監測的指標。湖泊葉綠素濃度的調查不僅可以確定水體的營養狀態,為湖泊治理和漁業資源管理提供基礎信息,而且有助于深刻理解和研究湖泊生態系統的生物地球化學循環過程以及其對氣候變化的響應等。遙感技術具有監測范圍大、速度快、周期性強、成本相對低廉等優點,能夠節省大量的人力、物力,是進行內陸水體葉綠素a監測的最佳選擇之一,彌補常規水質監測方法需要定時定點的不足。雖然近年來針對內陸渾濁水體葉綠素a濃度估算的研究已取得了巨大的進步,但由于內陸渾濁水體光學組分的復雜,獲得大尺度、長時間序列的水體葉綠素a反演數據仍然是難以攻克的難題。
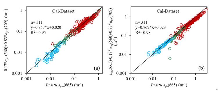
中科院東北地理與農業生態研究所水環境遙感團隊,在內陸渾濁水體葉綠素a濃度遙感定量反演方面取得重要進展。構建了一種新的內陸渾濁水體葉綠素a濃度估算算法(TC2)。TC2算法提出了一種新的假設用于更有效地去除葉綠素a吸收峰附近(~665 nm)非色素碎屑物質吸收信號。相比于經典三波段模型的假設,TC2模型的假設大大提高了葉綠素a吸收峰附近非色素碎屑物質吸收信號的去除精度,其對藻類色素吸收系數估算的平均相對誤差由經典三波段模型的65%降低為20%。基于大量野外實測數據的驗證結果表明,相比于幾種經典算法,TC2算法大大提高了內陸渾濁水體葉綠素a濃度的估算精度。
|
圖1.基于實測吸收數據對TC2算法新的假設的驗證
圖2. 5種模型葉綠素a濃度估算精度對比 該成果近期發表在《Remote Sensing of Environment》上,受到國家重點研發計劃課題“我國北方湖泊時空格局和變化特征(2019YFA0607101)”與國家自然科學基金重點項目(“咸水湖泊固有光學-偏振-介電特性研究”, 41730104)的共同資助。 論文信息: Ge Liu, Lin Li, Kaishan Song, Yunmei Li, Heng Lyu, Zhidan Wen, Chong Fang, Shun Bi, Xiaoping Sun, Zongming Wang, Zhigang Cao, Yingxin Shang, Gongliang Yu, Zhubin Zheng, Changchun Huang, Yifan Xu, Kun Shi 全文鏈接: https://www.sciencedirect.com/science/article/pii/S0034425720300961 https://www.sciencedirect.com/science/article/abs/pii/S0034425720300171
|
附件下載:
吉公網安備22017302000214號