東北地理所發現氮添加能夠提高植物早期生長的耐鹽性及潛在機制
鹽漬化是土地退化的一個重要方面,全球灌溉地區每年由于土壤鹽漬化造成的損失約為273億美元。植物在鹽堿地成功建植的關鍵環節是出苗和定居,因此植物萌發和幼苗早期生長對鹽的響應機理研究受到很多關注。鹽對植物生長的不利影響主要包括滲透效應引起的生理干旱、離子毒害及養分失衡,其中養分虧缺對萌發影響的研究很少。
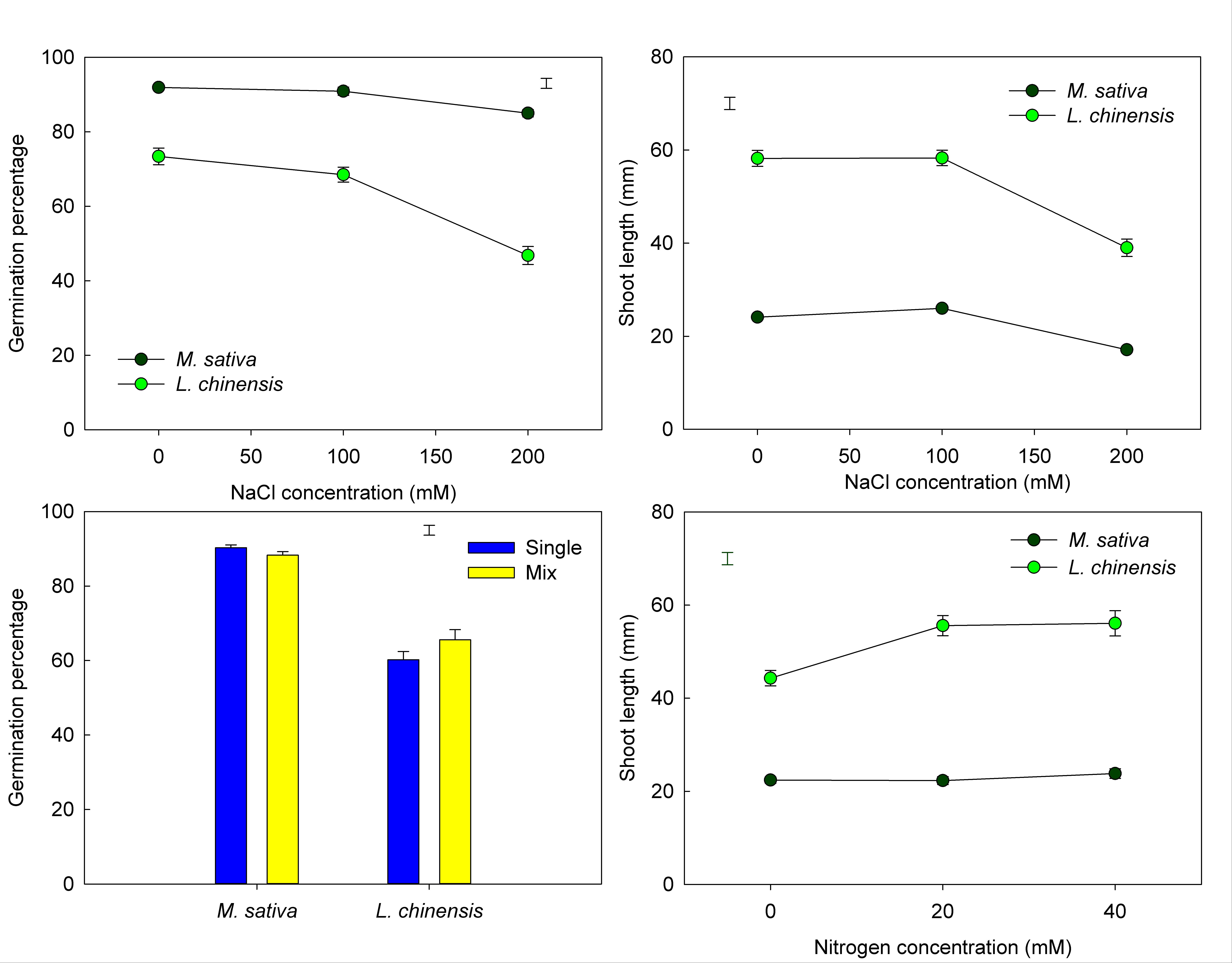
為了研究鹽和氮的交互作用對優質牧草禾本科羊草(Leymus chinensis)和豆科紫花苜蓿(Medicago sativa)早期生長的影響,東北地理所草地農牧業學科組科研人員開展了一個2×2×3×3析因設計實驗,兩種牧草在三個鹽濃度(0、100、200 mM NaCl)、三個氮濃度(0、20、40 mM NH4NO3)單播和混播條件下進行萌發。研究結果表明,混播和氮添加顯著增加氮敏感物種羊草的發芽率、發芽速度和幼苗高度,而對固氮植物紫花苜蓿種子的萌發和幼苗生長影響不大(圖1)。苜蓿幼苗的鈉離子含量隨鹽濃度和氮濃度的增加而增加,氮含量保持相對穩定;而羊草幼苗的鈉離字含量保持穩定,氮含量在加氮條件下顯著增加。因此我們推測羊草和苜蓿混播條件下,苜蓿吸收鈉離子形成“微-生物治理micro-bioremediation”環境,使羊草吸收氮素作為養分和滲透調節劑,促進其種子萌發和早期生長。
本研究結果發表在國際期刊Land Degradation & Development上,東北地理所張紅香副研究員為論文的第一作者,周道瑋研究員為通訊作者,相關工作得到國家重點基礎研究發展計劃(973計劃)和國家自然科學基金的資助。
論文信息:
Zhang H, Xiang Y, Irving LJ, Li Q, Zhou D. (2019) Nitrogen addition can improve seedling establishment of N-sensitive species in degraded saline soils. Land Degradation & Development, 30:119-127.

圖1 不同鹽濃度(a)、單播或混播條件下(b)羊草和紫花苜蓿的萌發率及不同鹽(c)和氮濃度下(d)羊草和紫花苜蓿的幼苗高度。

圖2 不同鹽和氮條件下羊草和紫花苜蓿的幼苗鈉離子濃度(a紫花苜蓿,b羊草)及氮含量(c紫花苜蓿,d羊草)。
附件下載:
吉公網安備22017302000214號